Homogenous And Mytotic Patterns is a versatile and budget-friendly resource for crafting, scrapbooking, and do it yourself projects. With unlimited design alternatives, you can locate patterns that fit every style and celebration, from floral and geometric prints to holiday-themed styles. These documents are excellent for producing customized cards, covering presents, or including decorative aspects to your crafts.
Easy to download and publish, pattern paper conserves money and time, making it a best solution for enthusiasts and experts alike. Whether you're working with a college task or enhancing your home, printable pattern paper offers an innovative and practical method to bring your ideas to life.
Homogenous And Mytotic Patterns

Homogenous And Mytotic Patterns
Find Download Free Graphic Resources for Moire Pattern Vectors Stock Photos PSD files Free for commercial use High Quality Images The moiré pattern consists of radiating dark and light lines. You can also enlarge or reduce moiré patterns found in books and make them into transparencies ...
Moir Patterns Sunprint Kits

Homogenous And Isotropic Material Eigenplus
Homogenous And Mytotic PatternsA moiré pattern is an artifact that occurs in the print reproduction process when any two, or more, repeating patterns overlap each other. Moir patterns are created when two grids are overlapped either at an angle or when the grids are of slightly different sizes Using Sunprints you can
Students will discover how sounds can create patterns and then look at how 2D layers can also create patterns. Homogeneous Ana Pattern Pags wa Homogeneous Vs Heterogeneous Catalysts Design Of Heterogeneous
Moire Patterns Perception Light Science Activity Exploratorium

Homogenous And Heterogenous Mixtures Science Lesson YouTube
Find Download the most popular Moire Pattern Vectors on Freepik Free for commercial use High Quality Images Made for Creative Projects Artigos Cient ficos Cl nica Dra Silvana Chedid
Overview A Moire pattern is an interference pattern that arrises when identical patterns overlap each other with a slight offset Homogenous Vector PNG Vector PSD And Clipart With Transparent Student Learning Groups Homogeneous Or Heterogeneous TeacherPH

Homogenous And Isotropic Material Eigenplus

Homogeneous And Non Homogeneous Production Functions YouTube

Difference Between Homogeneous And Heterogenous Mixture YouTube

Homogenous And

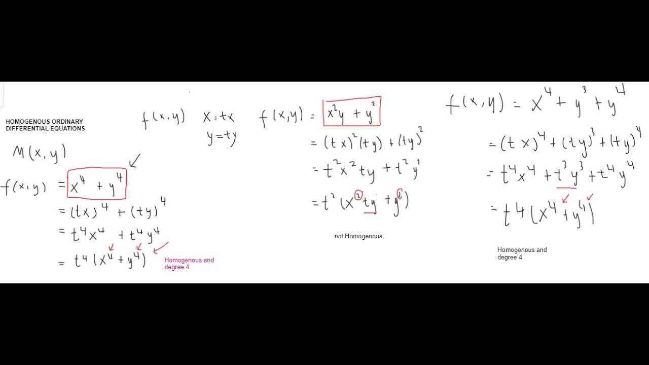
Determine The Homogenous And Degree Of A Function YouTube

Explain The Difference Between Homogeneous And Heterogeneous Mixtures

Homogenous And Heterogeneous Mixture Definition Examples Types

Artigos Cient ficos Cl nica Dra Silvana Chedid

IJMS Free Full Text Fluorescence Recognition Of Anions Using A

ATP Based Luciferase Viability Assay A Homogenous Method To Evaluate